Retificação

O PRESIDENTE DA REPÚBLICA Faço saber que o Congresso Nacional decreta e eu sanciono a seguinte Lei:


Art. 1º A Lei nº 8.212, de 24 de julho de 1991, passa a vigorar com as seguintes alterações:
"Art. 12. ...
I - ...
i) o empregado de organismo oficial internacional ou estrangeiro em funcionamento no Brasil, salvo quando coberto por regime próprio de previdência social;
...
V - como contribuinte individual: (NR)
a) a pessoa física, proprietária ou não, que explora atividade agropecuária ou pesqueira, em caráter permanente ou temporário, diretamente ou por intermédio de prepostos e com auxílio de empregados, utilizados a qualquer título, ainda que de forma não contínua;
b) a pessoa física, proprietária ou não, que explora atividade de extração mineral - garimpo, em caráter permanente ou temporário, diretamente ou por intermédio de prepostos, com ou sem o auxílio de empregados, utilizados a qualquer título, ainda que de forma não contínua;
c) o ministro de confissão religiosa e o membro de instituto de vida consagrada, de congregação ou de ordem religiosa, quando mantidos pela entidade a que pertencem, salvo se filiados obrigatoriamente à Previdência Social em razão de outra atividade ou a outro regime previdenciário, militar ou civil, ainda que na condição de inativos; (NR)
d) revogada;
e) o brasileiro civil que trabalha no exterior para organismo oficial internacional do qual o Brasil é membro efetivo, ainda que lá domiciliado e contratado, salvo quando coberto por regime próprio de previdência social; (NR)
f) o titular de firma individual urbana ou rural, o diretor não empregado e o membro de conselho de administração de sociedade anônima, o sócio solidário, o sócio de indústria, o sócio gerente e o sócio cotista que recebam remuneração decorrente de seu trabalho em empresa urbana ou rural, e o associado eleito para cargo de direção em cooperativa, associação ou entidade de qualquer natureza ou finalidade, bem como o síndico ou administrador eleito para exercer atividade de direção condominial, desde que recebam remuneração;
g) quem presta serviço de natureza urbana ou rural, em caráter eventual, a uma ou mais empresas, sem relação de emprego;
h) a pessoa física que exerce, por conta própria, atividade econômica de natureza urbana, com fins lucrativos ou não;
...
§ 6º Aplica-se o disposto na alínea g do inciso I do caput ao ocupante de cargo de Ministro de Estado, de Secretário Estadual, Distrital ou Municipal, sem vínculo efetivo com a União, Estados, Distrito Federal e Municípios, suas autarquias, ainda que em regime especial, e fundações."

"Art. 13. O servidor civil ocupante de cargo efetivo ou o militar da União, dos Estados, do Distrito Federal ou dos Municípios, bem como o das respectivas autarquias e fundações, são excluídos do Regime Geral de Previdência Social consubstanciado nesta Lei, desde que amparados por regime próprio de previdência social. (NR)
§ 1º Caso o servidor ou o militar venham a exercer, concomitantemente, uma ou mais atividades abrangidas pelo Regime Geral de Previdência Social, tornar-se-ão segurados obrigatórios em relação a essas atividades. (NR)
§ 2º Caso o servidor ou o militar, amparados por regime próprio de previdência social, sejam requisitados para outro órgão ou entidade cujo regime previdenciário não permita a filiação nessa condição, permanecerão vinculados ao regime de origem, obedecidas as regras que cada ente estabeleça acerca de sua contribuição."

"Art. 15. ...
Parágrafo único. Equipara-se a empresa, para os efeitos desta Lei, o contribuinte individual em relação a segurado que lhe presta serviço, bem como a cooperativa, a associação ou entidade de qualquer natureza ou finalidade, a missão diplomática e a repartição consular de carreira estrangeiras. (NR)
CAPÍTULO III - DA CONTRIBUIÇÃO DO SEGURADO
...
Seção II - Da Contribuição dos Segurados Contribuinte Individual e Facultativo (NR)"

"Art. 21. A alíquota de contribuição dos segurados contribuinte individual e facultativo será de vinte porcento sobre o respectivo salário de contribuição. (NR)
I - revogado;
II - revogado.
..."

"Art. 22. ...
I - vinte porcento sobre o total das remunerações pagas, devidas ou creditadas a qualquer título, durante o mês, aos segurados empregados e trabalhadores avulsos que lhe prestem serviços, destinadas a retribuir o trabalho, qualquer que seja a sua forma, inclusive as gorjetas, os ganhos habituais sob a forma de utilidades e os adiantamentos decorrentes de reajuste salarial, quer pelos serviços efetivamente prestados, quer pelo tempo à disposição do empregador ou tomador de serviços, nos termos da lei ou do contrato ou, ainda, de convenção ou acordo coletivo de trabalho ou sentença normativa. (NR)
...
III - vinte porcento sobre o total das remunerações pagas ou creditadas a qualquer título, no decorrer do mês, aos segurados contribuintes individuais que lhe prestem serviços;
IV - quinze porcento sobre o valor bruto da nota fiscal ou fatura de prestação de serviços, relativamente a serviços que lhe são prestados por cooperados por intermédio de cooperativas de trabalho.
§ 1º No caso de bancos comerciais, bancos de investimentos, bancos de desenvolvimento, caixas econômicas, sociedades de crédito, financiamento e investimento, sociedades de crédito imobiliário, sociedades corretoras, distribuidoras de títulos e valores mobiliários, empresas de arrendamento mercantil, cooperativas de crédito, empresas de seguros privados e de capitalização, agentes autônomos de seguros privados e de crédito e entidades de previdência privada abertas e fechadas, além das contribuições referidas neste artigo e no art. 23, é devida a contribuição adicional de dois vírgula cinco porcento sobre a base de cálculo definida nos incisos I e III deste artigo. (NR)
..."

"Art. 28. ...
...
III - para o contribuinte individual: a remuneração auferida em uma ou mais empresas ou pelo exercício de sua atividade por conta própria, durante o mês, observado o limite máximo a que se refere o § 5º; (NR)
IV - para o segurado facultativo: o valor por ele declarado, observado o limite máximo a que se refere o § 5º.
..."

"Art. 30. ...
I - ...
...
b) recolher o produto arrecadado na forma da alínea anterior, a contribuição a que se refere o inciso IV do art. 22, assim como as contribuições a seu cargo incidentes sobre as remunerações pagas, devidas ou creditadas, a qualquer título, aos segurados empregados, trabalhadores avulsos e contribuintes individuais a seu serviço, até o dia dois do mês seguinte ao da competência; (NR)
...
II - os segurados contribuinte individual e facultativo estão obrigados a recolher sua contribuição por iniciativa própria, até o dia quinze do mês seguinte ao da competência; (NR)
...
§ 2º Se não houver expediente bancário nas datas indicadas, o recolhimento deverá ser efetuado no dia útil imediatamente posterior. (NR)
...
§ 4º Na hipótese de o contribuinte individual prestar serviço a uma ou mais empresas, poderá deduzir, da sua contribuição mensal, quarenta e cinco porcento da contribuição da empresa, efetivamente recolhida ou declarada, incidente sobre a remuneração que esta lhe tenha pagado ou creditado, limitada a dedução a nove porcento do respectivo salário de contribuição.
§ 5º Aplica-se o disposto no § 4º ao cooperado que prestar serviço a empresa por intermédio de cooperativa de trabalho."

"Art. 35. Sobre as contribuições sociais em atraso, arrecadadas pelo INSS, incidirá multa de mora, que não poderá ser relevada, nos seguintes termos: (NR)
I - ...
a) oito porcento, dentro do mês de vencimento da obrigação; (NR)
b) quatorze porcento, no mês seguinte; (NR)
c) vinte porcento, a partir do segundo mês seguinte ao do vencimento da obrigação; (NR)
II - ...
a) vinte e quatro porcento, em até quinze dias do recebimento da notificação; (NR)
b) trinta porcento, após o décimo quinto dia do recebimento da notificação; (NR)
c) quarenta porcento, após apresentação de recurso desde que antecedido de defesa, sendo ambos tempestivos, até quinze dias da ciência da decisão do Conselho de Recursos da Previdência Social - CRPS; (NR)
d) cinquenta porcento, após o décimo quinto dia da ciência da decisão do Conselho de Recursos da Previdência Social - CRPS, enquanto não inscrito em Dívida Ativa; (NR)
III - ...
a) sessenta porcento, quando não tenha sido objeto de parcelamento; (NR)
b) setenta porcento, se houve parcelamento; (NR)
c) oitenta porcento, após o ajuizamento da execução fiscal, mesmo que o devedor ainda não tenha sido citado, se o crédito não foi objeto de parcelamento; (NR)
d) cem porcento, após o ajuizamento da execução fiscal, mesmo que o devedor ainda não tenha sido citado, se o crédito foi objeto de parcelamento. (NR)
...
§ 4º Na hipótese de as contribuições terem sido declaradas no documento a que se refere o inciso IV do art. 32, ou quando se tratar de empregador doméstico ou de empresa ou segurado dispensados de apresentar o citado documento, a multa de mora a que se refere o caput e seus incisos será reduzida em cinquenta porcento."

"Art. 45. ...
§ 1º Para comprovar o exercício de atividade remunerada, com vistas à concessão de benefícios, será exigido do contribuinte individual, a qualquer tempo, o recolhimento das correspondentes contribuições. (NR)
...
§ 4º Sobre os valores apurados na forma dos §§ 2º e 3º incidirão juros moratórios de zero vírgula cinco porcento ao mês, capitalizados anualmente, e multa de dez porcento. (NR)
...

§ 6º O disposto no § 4º não se aplica aos casos de contribuições em atraso a partir da competência abril de 1995, obedecendo-se, a partir de então, às disposições aplicadas às empresas em geral."

"Art. 85-A. Os tratados, convenções e outros acordos internacionais de que Estado estrangeiro ou organismo internacional e o Brasil sejam partes, e que versem sobre matéria previdenciária, serão interpretados como lei especial."
Art. 2º A Lei nº 8.213, de 24 de julho de 1991, passa a vigorar com as seguintes alterações:

"Art. 11. ...
I - ...
...
i) o empregado de organismo oficial internacional ou estrangeiro em funcionamento no Brasil, salvo quando coberto por regime próprio de previdência social;
...
V - como contribuinte individual: (NR)
a) a pessoa física, proprietária ou não, que explora atividade agropecuária ou pesqueira, em caráter permanente ou temporário, diretamente ou por intermédio de prepostos e com auxílio de empregados, utilizados a qualquer título, ainda que de forma não contínua;
b) a pessoa física, proprietária ou não, que explora atividade de extração mineral - garimpo, em caráter permanente ou temporário, diretamente ou por intermédio de prepostos, com ou sem o auxílio de empregados, utilizados a qualquer título, ainda que de forma não contínua;
c) o ministro de confissão religiosa e o membro de instituto de vida consagrada, de congregação ou de ordem religiosa, quando mantidos pela entidade a que pertencem, salvo se filiados obrigatoriamente à Previdência Social em razão de outra atividade ou a outro regime previdenciário, militar ou civil, ainda que na condição de inativos; (NR)
d) revogada;
e) o brasileiro civil que trabalha no exterior para organismo oficial internacional do qual o Brasil é membro efetivo, ainda que lá domiciliado e contratado, salvo quando coberto por regime próprio de previdência social; (NR)
f) o titular de firma individual urbana ou rural, o diretor não empregado e o membro de conselho de administração de sociedade anônima, o sócio solidário, o sócio de indústria, o sócio gerente e o sócio cotista que recebam remuneração decorrente de seu trabalho em empresa urbana ou rural, e o associado eleito para cargo de direção em cooperativa, associação ou entidade de qualquer natureza ou finalidade, bem como o síndico ou administrador eleito para exercer atividade de direção condominial, desde que recebam remuneração;
g) quem presta serviço de natureza urbana ou rural, em caráter eventual, a uma ou mais empresas, sem relação de emprego;
h) a pessoa física que exerce, por conta própria, atividade econômica de natureza urbana, com fins lucrativos ou não;
... .
§ 5º Aplica-se o disposto na alínea g do inciso I do caput ao ocupante de cargo de Ministro de Estado, de Secretário Estadual, Distrital ou Municipal, sem vínculo efetivo com a União, Estados, Distrito Federal e Municípios, suas autarquias, ainda que em regime especial, e fundações."

"Art. 12. O servidor civil ocupante de cargo efetivo ou o militar da União, dos Estados, do Distrito Federal ou dos Municípios, bem como o das respectivas autarquias e fundações, são excluídos do Regime Geral de Previdência Social consubstanciado nesta Lei, desde que amparados por regime próprio de previdência social. (NR)
§ 1º Caso o servidor ou o militar venham a exercer, concomitantemente, uma ou mais atividades abrangidas pelo Regime Geral de Previdência Social, tornar-se-ão segurados obrigatórios em relação a essas atividades. (NR)
§ 2º Caso o servidor ou o militar, amparados por regime próprio de previdência social, sejam requisitados para outro órgão ou entidade cujo regime previdenciário não permita a filiação, nessa condição, permanecerão vinculados ao regime de origem, obedecidas as regras que cada ente estabeleça acerca de sua contribuição."

"Art. 14. ...
Parágrafo único. Equipara-se a empresa, para os efeitos desta Lei, o contribuinte individual em relação a segurado que lhe presta serviço, bem como a cooperativa, a associação ou entidade de qualquer natureza ou finalidade, a missão diplomática e a repartição consular de carreira estrangeiras." (NR)

"Art. 25. ...
...
III - salário-maternidade para as seguradas de que tratam os incisos V e VII do art. 11 e o art. 13: dez contribuições mensais, respeitado o disposto no parágrafo único do art. 39 desta Lei.
Parágrafo único. Em caso de parto antecipado, o período de carência a que se refere o inciso III será reduzido em número de contribuições equivalente ao número de meses em que o parto foi antecipado."

"Art. 26. ...
I - pensão por morte, auxílio-reclusão, salário-família e auxílio-acidente; (NR)
...
VI - salário-maternidade para as seguradas empregada, trabalhadora avulsa e empregada doméstica."

"Art. 27. ...
...
II - realizadas a contar da data do efetivo pagamento da primeira contribuição sem atraso, não sendo consideradas para este fim as contribuições recolhidas com atraso referentes a competências anteriores, no caso dos segurados empregado doméstico, contribuinte individual, especial e facultativo, referidos, respectivamente, nos incisos II, V e VII do art. 11 e no art. 13." (NR)

"Art. 29. O salário de benefício consiste: (NR)
I - para os benefícios de que tratam as alíneas b e c do inciso I do art. 18, na média aritmética simples dos maiores salários de contribuição correspondentes a oitenta porcento de todo o período contributivo, multiplicada pelo fator previdenciário;
II - para os benefícios de que tratam as alíneas a, d, e e h do inciso I do art. 18, na média aritmética simples dos maiores salários de contribuição correspondentes a oitenta porcento de todo o período contributivo.
...
§ 6º No caso de segurado especial, o salário de benefício, que não será inferior ao salário mínimo, consiste:
I - para os benefícios de que tratam as alíneas b e c do inciso I do art. 18, em um treze avos da média aritmética simples dos maiores valores sobre os quais incidiu a sua contribuição anual, correspondentes a oitenta porcento de todo o período contributivo, multiplicada pelo fator previdenciário;
II - para os benefícios de que tratam as alíneas a, d, e e h do inciso I do art. 18, em um treze avos da média aritmética simples dos maiores valores sobre os quais incidiu a sua contribuição anual, correspondentes a oitenta porcento de todo o período contributivo.
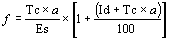
§ 7º O fator previdenciário será calculado considerando-se a idade, a expectativa de sobrevida e o tempo de contribuição do segurado ao se aposentar, segundo a fórmula constante do Anexo desta Lei.
§ 8º Para efeito do disposto no § 7º, a expectativa de sobrevida do segurado na idade da aposentadoria será obtida a partir da tábua completa de mortalidade construída pela Fundação Instituto Brasileiro de Geografia e Estatística - IBGE, considerando-se a média nacional única para ambos os sexos.
§ 9º Para efeito da aplicação do fator previdenciário, ao tempo de contribuição do segurado serão adicionados:
I - cinco anos, quando se tratar de mulher;
II - cinco anos, quando se tratar de professor que comprove exclusivamente tempo de efetivo exercício das funções de magistério na educação infantil e no ensino fundamental e médio;
III - dez anos, quando se tratar de professora que comprove exclusivamente tempo de efetivo exercício das funções de magistério na educação infantil e no ensino fundamental e médio."

"Art. 43. ...
§ 1º ...
a) ao segurado empregado, a contar do décimo sexto dia do afastamento da atividade ou a partir da entrada do requerimento, se entre o afastamento e a entrada do requerimento decorrerem mais de trinta dias; (NR)
b) ao segurado empregado doméstico, trabalhador avulso, contribuinte individual, especial e facultativo, a contar da data do início da incapacidade ou da data da entrada do requerimento, se entre essas datas decorrerem mais de trinta dias. (NR)
§ 2º Durante os primeiros quinze dias de afastamento da atividade por motivo de invalidez, caberá à empresa pagar ao segurado empregado o salário." (NR)

"Art. 48. ...
§ 1º Os limites fixados no caput são reduzidos para sessenta e cinquenta e cinco anos no caso de trabalhadores rurais, respectivamente homens e mulheres, referidos na alínea a do inciso I, na alínea g do inciso V e nos incisos VI e VII do art. 11. (NR)
..."

"Art. 60. O auxílio-doença será devido ao segurado empregado a contar do décimo sexto dia do afastamento da atividade, e, no caso dos demais segurados, a contar da data do início da incapacidade e enquanto ele permanecer incapaz. (NR)
...
§ 3º Durante os primeiros quinze dias consecutivos ao do afastamento da atividade por motivo de doença, incumbirá à empresa pagar ao segurado empregado o seu salário integral. (NR)
..."

"Art. 67. O pagamento do salário-família é condicionado à apresentação da certidão de nascimento do filho ou da documentação relativa ao equiparado ou ao inválido, e à apresentação anual de atestado de vacinação obrigatória e de comprovação de frequência à escola do filho ou equiparado, nos termos do regulamento." (NR)

"Art. 71. O salário-maternidade é devido à segurada da Previdência Social, durante cento e vinte dias, com início no período entre vinte e oito dias antes do parto e a data de ocorrência deste, observadas as situações e condições previstas na legislação no que concerne à proteção à maternidade, sendo pago diretamente pela Previdência Social." (NR)

"Art. 72. O salário-maternidade para a segurada empregada ou trabalhadora avulsa consistirá numa renda mensal igual a sua remuneração integral." (NR)

"Art. 73. Assegurado o valor de um salário mínimo, o salário-maternidade para as demais seguradas consistirá:" (NR)
I - em um valor correspondente ao do seu último salário de contribuição, para a segurada empregada doméstica;
II - em um doze avos do valor sobre o qual incidiu sua última contribuição anual, para a segurada especial;
III - em um doze avos da soma dos doze últimos salários de contribuição, apurados em um período não superior a quinze meses, para as demais seguradas."

Art. 3º Para o segurado filiado à Previdência Social até o dia anterior à data de publicação desta Lei, que vier a cumprir as condições exigidas para a concessão dos benefícios do Regime Geral de Previdência Social, no cálculo do salário de benefício será considerada a média aritmética simples dos maiores salários de contribuição, correspondentes a, no mínimo, oitenta porcento de todo o período contributivo decorrido desde a competência julho de 1994, observado o disposto nos incisos I e II do caput do art. 29 da Lei nº 8.213, de 1991, com a redação dada por esta Lei.
   § 1º Quando se tratar de segurado especial, no cálculo do salário de benefício serão considerados um treze avos da média aritmética simples dos maiores valores sobre os quais incidiu a sua contribuição anual, correspondentes a, no mínimo, oitenta porcento de todo o período contributivo decorrido desde a competência julho de 1994, observado o disposto nos incisos I e II do § 6º do art. 29 da Lei nº 8.213, de 1991, com a redação dada por esta Lei.
   § 2º No caso das aposentadorias de que tratam as alíneas b, c e d do inciso I do art. 18, o divisor considerado no cálculo da média a que se refere o caput e o § 1º não poderá ser inferior a sessenta porcento do período decorrido da competência julho de 1994 até a data de início do benefício, limitado a cem porcento de todo o período contributivo.

Art. 4º Considera-se salário de contribuição, para os segurados contribuinte individual e facultativo filiados ao Regime Geral de Previdência Social até o dia anterior à data de publicação desta Lei, o salário-base, determinado conforme o art. 29 da Lei nº 8.212, de 1991, com a redação vigente naquela data. (Vide Lei 10.666/2003)
   § 1º O número mínimo de meses de permanência em cada classe da escala de salários-base de que trata o art. 29 da Lei nº 8.212, de 1991, com a redação anterior à data de publicação desta Lei, será reduzido, gradativamente, em doze meses a cada ano, até a extinção da referida escala.
   § 2º Havendo a extinção de uma determinada classe em face do disposto no § 1º, a classe subsequente será considerada como classe inicial, cujo salário-base variará entre o valor correspondente ao da classe extinta e o da nova classe inicial.
   § 3º Após a extinção da escala de salários-base de que trata o § 1º, entender-se-á por salário de contribuição, para os segurados contribuinte individual e facultativo, o disposto nos incisos III e IV do art. 28 da Lei nº 8.212, de 1991, com a redação dada por esta Lei.

Art. 5º Para a obtenção do salário de benefício, o fator previdenciário de que trata o art. 29 da Lei nº 8.213, de 1991, com redação desta Lei, será aplicado de forma progressiva, incidindo sobre um sessenta avos da média aritmética de que trata o art. 3º desta Lei, por mês que se seguir a sua publicação, cumulativa e sucessivamente, até completar sessenta sessenta avos da referida média.

Art. 6º É garantido ao segurado que até o dia anterior à data de publicação desta Lei tenha cumprido os requisitos para a concessão de benefício o cálculo segundo as regras até então vigentes.

Art. 7º É garantido ao segurado com direito a aposentadoria por idade a opção pela não aplicação do fator previdenciário a que se refere o art. 29 da Lei nº 8.213, de 1991, com a redação dada por esta Lei.

Art. 8º Esta Lei entra em vigor na data de sua publicação, produzindo efeitos, quanto à majoração de contribuição e ao disposto no § 4º do art. 30 da Lei nº 8.212, de 1991, com a redação dada por esta Lei, a partir do dia primeiro do mês seguinte ao nonagésimo dia daquela publicação, sendo mantida, até essa data, a obrigatoriedade dos recolhimentos praticados na forma da legislação anterior.

Art. 9º Revogam-se a Lei Complementar nº 84, de 18 de janeiro de 1996, os incisos III e IV do art. 12 e o art. 29 da Lei nº 8.212, de 24 de julho de 1991, os incisos III e IV do art. 11, o § 1º do art. 29 e o parágrafo único do art. 113 da Lei nº 8.213, de 24 de julho de 1991.

Brasília, 26 de novembro de 1999; 178º da Independência e 111º da República.

______________________________
FERNANDO HENRIQUE CARDOSO

______________________________
Waldeck Ornelas


Este texto não substitui o publicado no D.O.U. de 29.11.1999 - Edição extra e retificada no DOU de 6.12.1999.




Anexo


CÁLCULO DO FATOR PREVIDENCIÁRIO

Mapa



Onde:

   f = fator previdenciário;
   ES = expectativa de sobrevida no momento da aposentadoria;
   TSE = tempo de contribuição até o momento da aposentadoria;
   Id = idade no momento da aposentadoria;
   a = alíquota de contribuição correspondente a 0,31.




RETIFICAÇÃO


Acesse clicando aqui